Caminante sobre el mar de niebla/Caspar David Friedrich. 1818.
Hace unos días, mi papá me enseñó un pedazo de papel en el que hace muchos años yo había escrito cuatro problemas de matemática de esos que la solución se encuentra de forma creativa. Pues aquí les traigo uno de ellos.
Considere las ecuaciones
𝑥+ 𝑦= 1, (1)
𝑥2 + 𝑦2 = 2, (2)
𝑥3 + 𝑦3 = ? (3)
Bonitas, ¿verdad?
El enunciado del problema es el siguiente: Si 𝑥 y 𝑦 son números tales que satisfacen las dos primeras ecuaciones, entonces ¿a qué es igual la tercera? Y no, no es 3.
Le recomiendo hacer una breve pausa en la lectura, desempolvar sus habilidades algebraicas y encontrar la solución.
Terminada la pausa, si usted tiene en cuenta las dos primeras ecuaciones, entonces (𝑥+ 𝑦)2 – (𝑥2 + 𝑦2) = 12 – 2 = -1, de donde obtenemos que 𝑥𝑦= -1/2, (4) una relación que será importante más adelante.
Ahora bien, haciendo la multiplicación de las ecuaciones 1 y 2, tenemos que (𝑥+𝑦) (𝑥2 + 𝑦2) = 2. Después de desarrollar los paréntesis y usando la ecuación 4 encontramos que 𝑥3 + 𝑦3 = 5/2. (5)
De esta manera resolvimos el sencillo problema. El resultado fue 5/2=2,5, un número más grande que dos, pero no llegó a ser tres.
¿Y si seguimos explorando?
Confieso que la primera vez que vi este problema me conformé con haber obtenido el anterior resultado. Pero, y aquí es cuando comienza lo interesante, ¿qué tal si vemos cuánto es 𝑥4 + 𝑦4 ?
Para ver a qué es igual esa cantidad, procedemos de forma similar a lo anterior. Es decir, consideramos la multiplicación (𝑥 + 𝑦) (𝑥3 + 𝑦3) = 5/2.
Desarrollando los paréntesis tenemos que 𝑥4 + 𝑦4 + 𝑥𝑦 (𝑥2 + 𝑦2) = 5/2. Usando los resultados antes obtenidos obtenemos que
𝑥4 + 𝑦4 = 7/2. (6)
¿Qué raro?, ahora sí dio un salto un poco largo desde 2,5 hasta 7/2=3,5.
Entonces, de esta manera un tanto curiosa, aparece una sucesión de números. Hasta ahora solo conocemos los cuatro primeros términos 1; 2; 2,5; 3,5. Les adelanto que el próximo número es 19/4 = 4,75; es decir, el correspondiente a calcular 𝑥5 + 𝑦5. Fíjense que ahora dio un salto de 1,25 respecto al número anterior. Parecería que la sucesión crece, y cada vez lo que crece es mayor.
Una sucesión tipo Fibonacci.
Sigamos explorando, pero ahora de manera general. Es decir, definamos 𝑥𝑛 + 𝑦𝑛 = 𝑁(𝑛), (7) que será el término n-ésimo de nuestra sucesión.
Como 𝑥 + 𝑦 = 1, entonces (𝑥 + 𝑦) (𝑥𝑛 + 𝑦𝑛) = 𝑁(𝑛). Desarrollando los paréntesis obtenemos que 𝑥𝑛+1 + 𝑦𝑛+1 + 𝑥𝑦(𝑥𝑛-1 + 𝑦𝑛-1) = 𝑁(𝑛). Con esto llegamos a la ecuación más importante de todo este asunto:
𝑁(𝑛 + 1) = 𝑁(𝑛) – 𝑁0𝑁(𝑛- 1), (8)
donde 𝑁0 = 𝑥𝑦 = -1/2
¿Qué tenemos aquí? Tenemos una relación de recurrencia en el que el término n-ésimo se calcula a partir de los dos anteriores. Es decir, una expresión tipo Fibonacci para todos los términos de la sucesión! Con esta ecuación podemos calcular cualquier término si conocemos los anteriores.
Por ejemplo, calculemos 𝑥5 + 𝑦5
𝑁(5) = 𝑁(4) + 1/2 𝑁(3),
𝑁(5) = 7/2 + 1/2 ∗ 5/2,
𝑁(5) = 19/4
De esta manera podemos calcular y graficar los primeros diez términos de la sucesión.

Como vemos en el gráfico de los diez primeros números, la sucesión crece y el próximo término se va distanciando cada vez más del anterior. Con lo que podemos suponer que la sucesión diverge, es decir, no se acerca a ningún número. Demostrarlo de manera general es sencillo usando la ecuación 8, pero hacer la demostración es aburrido. Hagamos en cambio algo más interesante.
Compliquemos el asunto
Justo cuando parecía que había agotado el problema, me pregunté si habría alguna forma de que la sucesión resultara convergente. Es decir, nuestro problema original es el siguiente:
La sucesión que resulta de plantear 𝑥 + 𝑦 = 1, 𝑥2 + 𝑦2 = 2 es divergente.
Pregunta: ¿Y si cambiamos los valores de las dos primeras ecuaciones? ¿La sucesión resultante continuaría siendo divergente, o podrían existir valores para los cuales converge? Con esto estamos exprimiendo el problema.
Escribámoslo de esta manera
𝑥 + 𝑦 = 𝑁1 (9)
𝑥2 + 𝑦2 = 𝑁2 (10)
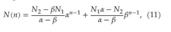
La forma explícita para el término n-ésimo es la siguiente (¡demuéstrela!)

donde:

Es decir, solo necesitamos introducir 𝑛 para obtener el término n-ésimo 𝑁(𝑛). La ventaja de analizar esta expresión es que nos podemos dar cuenta fácilmente que el término de 𝛼𝑛-1 es divergente porque 𝛼 > 1. Sin embargo, el término de 𝛽𝑛-1 es convergente a cero porque -1 < 𝛽 < 1. Por tanto, para forzar a que la sucesión sea convergente es necesario anular el coeficiente del término divergente. Es decir, tenemos que hacer que 𝑁2 = 𝛽𝑁1. (12)
Por ejemplo:

En efecto, en la figura 2 observamos que sus 10 primeros términos oscilan entre positivos y negativos, y rápidamente se acerca cada vez más a cero.

¿Hemos agotado por completo el problema? Estoy seguro de que no. ¿Qué se te ocurre hacer para seguir explorando? Tal vez esta pregunta sea incluso más relevante que el propio problema, que las ecuaciones o que las gráficas. Se trata, en esencia, de la curiosidad por seguir un sendero, una idea, que podría conducirnos a resultados interesantes. Y si no es así, no importa: siempre surgirán nuevas preguntas.

Las matemáticas son un miedo infundado. Si un niño nunca escuchara la sentencia “qué difíciles son las matemáticas”, seguro no hubiesen tantos detractores de esta ciencia. Cuando se ama no importa cuán difícil sea el camino…pues esto es lo que sentimos los amantes de los números